X+3y5 3x Y5
Http Mrsroumbos Weebly Com Uploads 2 3 5 3 8a Practice Test 2 Pdf

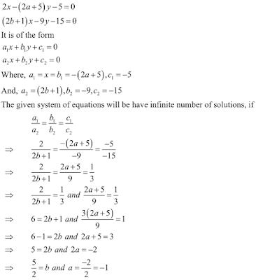
For What Value A And B The Following System Of Linear Equations Have An Infinite Number Of Solutions 2a 1 X 3y 5 3x B 2 Y 3 Mathematics Topperlearning Com Jafl8e

2x 3y 2 X 2y 5 3x Y Myschool
X+3y5 3x Y5 のギャラリー
2
Solve The Following Systems Of Equations Graphically 2x 3y 5 0 3x 2y 12 0 Sarthaks Econnect Largest Online Education Community

Solved 5 2 X 3 Iii Find The Solution Solve For Chegg Com
2

Misc 14 Find Area Bounded By Lines 2x Y 4 3x 2y 6
t Solutions Ch03 Variable Mathematics Equations
Determine The Values Of A And B So That The Following System Of Linear Equations Have Infinitely Many Solutions 2a 1 X 3y 5 0 3x B 1 Y 2 0 Sarthaks Econnect Largest Online Education Community

2x 3y 4 3x Y 5 Solve It By Substitution Method Brainly In
Search Q 3x 2b2y 3d5 Graph Tbm Isch

7 3 3x 2y 2 3y 2x 5 6 91

Linear Equation Graph
R D Sharma Solutions Class 10th Ch 3 Pair Of Linear Equations In Two Variables Exercise 3 5

Systems Of Equations With Elimination 3y 4x 11 Y 2x 13 Video Khan Academy

Rd Sharma Class 10 Solutions Maths Chapter 3 Pair Of Linear Equations In Two Variables Exercise 3 2
Using Matrices Solve The Following System Of Equations 2x 3y 5z 11 3x 2y 4z 5 X Y 2z 3 Quora

The Angle Between The Line 2x 3y 5 And 3x 2y 7 Is
Www Waynesville K12 Mo Us Cms Lib07 Mo Centricity Domain 603 A1 c6 l2 solution key worked out Pdf

2m 1 X 3y 5 0 3x N 1 Y 2 0 Scholr
Www Jcarroll Org Wp Content Uploads 07 21 Geometry Packet Pdf
If 3x 5y 9 And 5x 3y 7 Then What Is The Value Of X Y
Http Www Universityacademy Org Common Pages Displayfile Aspx Itemid
Solve The Following Systems Of Equations Graphically 2x 3y 5 0 3x 2y 12 0 Sarthaks Econnect Largest Online Education Community

Ex 4 6 13 Solve Linear Equations Using Matrix Method Ex 4 6

3x Y 10 And X Y 2 Problem Set 1 Q3 5 Of Linear Equations In Two Variables Youtube

Answered N 7 Ei 24 U G1 28 0 1 0 0 4 0 1 1 Bartleby

5y 4 3y 3 2y 2 6y 5 3y 6y 3 4y 2 4y 8 Can Someone Simplify

Find The Value Of A And B For Which The System Of Equations Has Infinitely Many Brainly In

Linear Equations Algebra
Find The Circumcenter Whose Sides Are 3x Y 5 0 X 2y 4 0 5x 3y 1 0 Quora

Solve The Following Pair Substitution Method I X Y 5 An Scholr

Mathematics 8 Systems Of Linear Inequalities

Systems Of Equations With Elimination 4x 2y 5 2x Y 2 5 Video Khan Academy

Solving A System Of Equations Using A Matrix Precalculus Socratic

Chapter 9 Systems Of Linear Equations Pdf Free Download

Welcome Back Let S Warm Up 1 4x 5y 12 2 3x 2y 12 4x 3y 4 4x 2y Ppt Download

Year 9 Simultaneous Equations Ppt Video Online Download

Find The Value Of X T If 3x 2y 5 And 3y 2x 3 Brainly In
Http Central Cdn Educationalnetworks Net Central Get File Jsp Bucket Rygwil Z6kywtm Dftop7pcl Zpjzjp Fuqsxouzoz6seak Filename 8th Grade Module 3 Topic 2 Notespractice Pdf

Engineering Mathematics Notes
Http Central Cdn Educationalnetworks Net Central Get File Jsp Bucket Rygwil Z6kywtm Dftop7pcl Zpjzjp Fuqsxouzoz6seak Filename 8th Grade Module 3 Topic 2 Notespractice Pdf

Using The Method Of Integration Find The Area Of The Region Bounded By Lines 2x Y 4 3x 2y 6 And X 3y 5 0 Mathematics Shaalaa Com

Use Graph Paper For This Question Draw The Graph Of 3x 2y 5 And 2x 3y On The Same Axes Use 2cm 1 Unit On Both The Axes And Plot Only 3

Solved Solve Th 1 Elimination 2x Y 5 3x Y 10 E Foll Chegg Com

Key Sections 4 1 4 3 Math 110 112 Practice Quiz 7

How Do You Solve The System Y 2 3x And 2x 3y 5 By Graphing Socratic

Systems Of Equations With Substitution 9x 3y 15 Y X 5 Video Khan Academy

2a 1 X 3y 5 3x B 2 Y 3 By Cross Multiplication Edurev Class 10 Question

2a 1 X 3y 5 3x B 1 Y 2 Youtube

Which Type Of Solution Will Be The Pair Of Linear Equation X 3y 4 And 3x Y 5 Have Brainly In

3x 2y 5 2 And 1 3 3y 4 3 Problem Set 1 Q5 3 Linear Equation In Two Variables Youtube
What Is The Answer To Find The Equation Of A Straight Line Through The Point Of Intersection Of Lines 2x 3y 5 0 And 3x 4y 7 0 Which Is Parallel To The Line 2x Y 2 0 Quora

Engineering Mathematics Notes
Using Matrices Solve The Following System Of Equations 2x 3y 5z 11 3x 2y 4z 5 X Y 2z 3 Quora
Www Buffaloschools Org Site Handlers Filedownload Ashx Moduleinstanceid 8652 Dataid Filename Review 13 key2 Pdf

What Is The Solution For An Equation Of A Line Passing Through The Point Of Intersection Of 2x 3y 5 0 And 7x 5y 2 0 And Parallel To The Lines 2x 3y 14 0 Quora

Solved X 2y 5 21 3x Y 1 X 3y 5 3x Y4z 10 X Chegg Com

Mathscene Vectors Lesson 5
Solved 17 A8 18 La L 0 Solve Each System Using Cramer S Chegg Com
2

Chapter 9 Systems Of Linear Equations Pdf Free Download

5 X 3 Y 1 3 2x 2 3y 5 Brainly In

2x Y 5 0 And 3x 2y 4 0 Find X And Y In Substitution Method And Elimination Method 2 2x 3y 1 And Brainly In
Www Stjoeschool Org Assets Imgs Uploads 8th Grade Mr Croughn And Mr Lawrence Pdf

Systems Of Linear Equations
Solved 3 58 Solve The System By Using The Elimination Me Chegg Com

Ex 3 5 1 Which Pair Has Unique No Solution Or Infinitely

The Number Of Solutions Of The Equations 2x 3y 5 X 2y 7 Is

2x 3y 4 0 3x Y 5 0 Youtube

Solved Solve The System Of Equations X 3y 5 3x Y 5 Study Com

Ex 3 4 1 Solve By Elimination And Substitution I X Y 5 2x 3y

Answers

Consider The Family Of Lines X Y 1 Lamda 2x 3y 5 0 And 3x

Iii 8x 3y 14 3x Y 5 Use Substitution Method Scholr

3x 4y 10 4x 3y 5 Youtube
2
Solved Use Gauss Jordan Elimination To Solve For All Vari Chegg Com

The Pair Of Linear Equations 3x 2y 5 2x 3y 7 Have One Solution B Two Solution Many Solution Youtube

25 A Q25 Solution Of The Diff Equation Dydx 3x 2y 52x 3y 5 0 Is A 3x 4xy 3ya Math Differential Equations Meritnation Com

X 3y 5 3x Y 5 Brainly In

3x 6y 16 X 3y 5 Cloudfront Net
Http Www Monroe K12 Ky Us Userfiles 997 Classes 1535 Chapter 4 Pdf
Www Waynesville K12 Mo Us Cms Lib07 Mo Centricity Domain 603 A1 c6 l2 solution key worked out Pdf

What Is The Solution For An Equation Of A Line Passing Through The Point Of Intersection Of 2x 3y 5 0 And 7x 5y 2 0 And Parallel To The Lines 2x 3y 14 0 Quora

Welcome Back Let S Warm Up 1 4x 5y 12 2 3x 2y 12 4x 3y 4 4x 2y Ppt Download

Find The Value Of A And B For Which The System Of Equations Has Infinitely Many Brainly In

2a 1 X 3y 5 And 3x B 2y 3 Math Quadratic Equations Meritnation Com

S3 Eu West 1 Viewx Y 7 X 3 X 2y 11 Y 4
Find The Circumcentre Of The Triangle Formed By The Lines 3x Y 5 0 X 2y 4 0 5x 3y 1 0 Sarthaks Econnect Largest Online Education Community
Solved 5x 2y 1 3x Y 9 B 3x 5y 13 X 2y 5 3x 4y 12 Chegg Com

Answered Anced Challenging 0 Exercises That Bartleby

3x 2y 5 0 X 3y 9 0 Solve It By Method Of Substitution Brainly In

The Equation Of The Line Perpendicular To The Line 2x 3y 5 0 And
Q Tbn 3aand9gcryewvt8ls4or5j7di6ch Otabirqhrsx5rwfgpvf8tvd0ti5y Usqp Cau

Answered Step 2 We Solve The Equation F Y X Bartleby

Ex 3 2 3 On Comparing Ratios Find If Consistent Or Inconsistent

M3u2d2 Warmup Solve The System 2x Y 5 3x 3y 3 2 1 Collect Warmups Ppt Download

Solving A System Of Equations Using A Matrix Precalculus Socratic

Solve The Following Simultaneous Equations 3x 4y 10 4x 3y 5
Solved 72y 5x 1 X 2y 5 9 6x 5y 3 4x 3y 21 10 11 3x Chegg Com